研究进展

    研究进展

    当前您的位置: 首页 > 研究进展 > 正文

    2022年学术进展系列之45:综合赛事平台硕士研究生李国鹏及导师等在等级式黑洞并合率方面取得进展

    日期: 2022-08-26 浏览次数:

        近日,综合赛事平台硕士研究生李国鹏研究等级式黑洞并合率的工作论文被《Astronomy & Astrophysics》杂志接收发表。

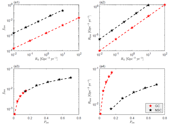
      恒星演化理论预测,由于对不稳定性,新形成的黑洞在质量上存在空缺~65-130M。在星团中发生的等级式黑洞并合可以解释这种恒星塌缩形成黑洞质量空缺,受到该领域学界的关注。但是等级并合的研究极大地受到计算力的挑战,因为基于混合蒙特卡罗或N体模拟大质量星团的方法几乎不可能搜寻相关参数空间。目前的研究大多使用半解析模型。本工作中,作者从黑洞并合遗迹在星团中的保留概率出发,巧妙设计、推导出了一个等级黑洞并合率公式,表明等级并合率与保留概率成正比。发现虽然在球状星团的等级并合效率远低于核星团的并合效率,但是由于相比核星团,球状星团有更高的总的双黑洞并合率。这导致在球状星团的等级并合率和核星团的等级并合率不相上下。这意味着LIGO-Virgo探测到的等级并合事件起源于球状星团的概率与起源于核星团的概率大致相等。该解析结果有助于理解星团逃逸速度和第一代黑洞并合的反冲速度对等级黑洞并合率的影响,有助于对GW190521等等级并合事件候选体起源方面的研究。


        

    1 等级并合比例(左图)和等级并合率(右图)分别作为总双黑洞并合率(上图)和保留概率(下图)的函数。


    论文标题:Constraining hierarchical mergers of binary black holes detectable with LIGO-Virgo

    论文作者:李国鹏 (指导老师:林达斌)

    DOI:  https://doi.org/10.1051/0004-6361/202244257

    论文arXiv地址:https://arxiv.org/abs/2208.11894





     

     

    联系地址:广西区南宁市大学东路100号

    联系电话:0771-3237386

    邮 编 :530004

    关注我们

    版权所有:世界杯体育官方网站