近日,综合赛事平台博士生田晓和导师吕候军教授合作在与相干射电闪成协的短持续时间伽玛暴的前身星和中心引擎方面取得进展,研究成果以“The Progenitor and Central Engine of Short-duration GRB 201006A Associated with a Coherent Radio Flash”为题被国际权威期刊《天文物理期刊》(The Astrophysical Journal)接收发表。
最近,与短持续时间GRB 201006A相关的相干射电闪的探测引起了极大的关注,该射电闪发生在爆发后的76.6分钟。然而,相干射电闪的物理起源仍然存在争议。通过重新分析Swift和Fermi观测到的数据,文章发现早期的射电余辉辐射作为射电闪的物理起源可以被排除,但相干射电闪似乎与超大质量磁星作为中心引擎坍塌成黑洞的假设相一致。在这种情况下,导出的磁星表面磁场(Bp)和初始自旋周期(P0)都在一个合理的范围内,但磁层能量转换为相干射电闪能量的效率ηR= 10−7或10−6是较低的。此外,计算出的GRB 201006A的低ε值和Ep−Eγ,iso相关性也支持GRB 201006A起源于双致密星并合。文章还讨论了与GRB 201006A相关的未探测到的千新星辐射,并与它的光学观测上限进行了比较,发现与GRB 201006A相关的可能的千新星辐射太微弱而无法探测到。这表明不能排除中心引擎是超大质量磁星的可能性。
 
 
图1. 左图:GRB样本在T90−ε空间的1D和2D分布。右图:Ep−Eγ,iso相关性。
 
 
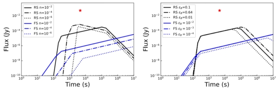
图2. GRB 201006A在144MHz射电波段的FS和RS余辉光曲线。红色的五角星代表观测到的相干射电闪,其峰值流量密度为49 ± 27 mJy,红移为0.58 ± 0.06。
 
 
图3. 推断出的磁星参数。
 
 
图4. 左图:不同辐射效率ηR下推断出的X射线平台光度,黑色虚线表示射电闪的爆发时间(静止坐标系)。右图:具有内部平台的短伽玛暴的LX−tcol反相关关系。
 
 
图5. 磁星驱动的千新星在i波段(红色)和r波段(蓝色)的光曲线。
论文作者:田晓(博士生),吕候军(唯一通讯),袁泳,杨星(博士生),原浩瑜,仪双喜,张文龙,梁恩维。
论文链接:https://iopscience.iop.org/article/10.3847/1538-4357/ad6e85