我院天体物理光学AGN团组在天文学期刊《A&A Letters》上发表了题为“Mass evolution of broad line regions to explain the luminosity variability of broad Hα in the TDE ASASSN-14li”的SCI文章。
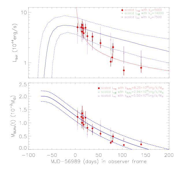
在该项工作中,考虑到TDE事件ASASSN-14li中的连续谱光度和宽Hα光度的演化的差异,我们首次提出了一种简单的模型用来预估TDE事件中BLRs中的质量演化。为后续在AGN中进行BLRs质量的估算提供了一种全新的想法。 

 Fig. 1: Top panel shows the evolution of continuum luminosity (bolometric luminosity). Bottom panel shows evolution of broad Hα and the best descriptions related to our proposed mass evolution model.
 
中文题目:基于宽Hα光度的演化确认ASASSN-14li中BLRs的质量演化 
论文作者:张雪光(通信作者)
发表期刊:Astronomy & Astrophysics Letters
文章链接:https://arxiv.org/abs/2411.12247