我院天体物理光学AGN团组在天文学期刊《MNRAS》上发表了题为“A candidate of high-z central tidal disruption event in quasar SDSS J000118.70+003314.0”的SCI文章。  
在该项工作中,基于光变特征,我们报道了稀缺的高红移的TDE事件,为后续对TDE事件对红移的演化依赖的研究打下了基础,基于该项工作,后续对高红移TDE的证认、样本的高红移TDE事件的创建,都在有序进行中。 

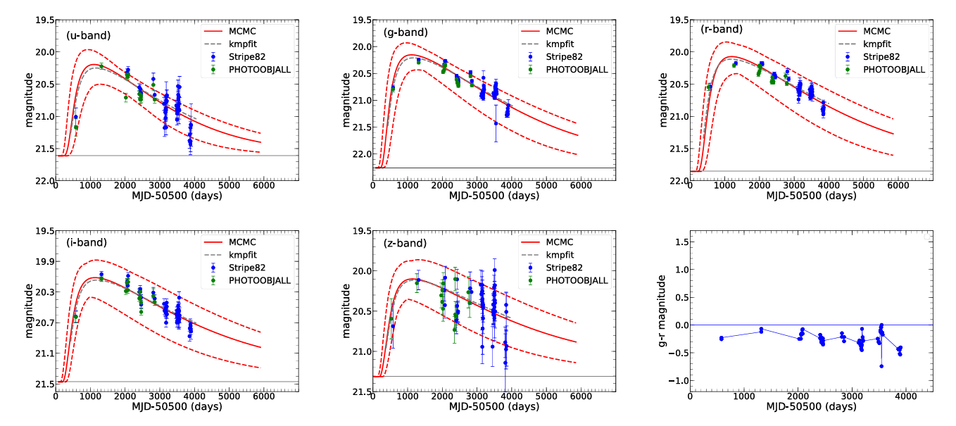
Fig.1: Long-term light curves in SDSS ugriz-bands and the TDE model determined best descriptions and the corresponding confidence bands.
 
中文题目:对高红移类星体SDSS J0001中TDE事件的证认
论文作者:顾莹(博士研究生)、张雪光(通信作者)、陈兴黔(硕士研究生)、杨星(博士研究生)、梁恩维(通信作者)
发表期刊:Monthly Notices of the Royal Astronomical Society
文章链接:https://arxiv.org/abs/2412.17046